• Предмет: Алгебра
  • Автор: amberriaran
  • Вопрос задан 9 лет назад

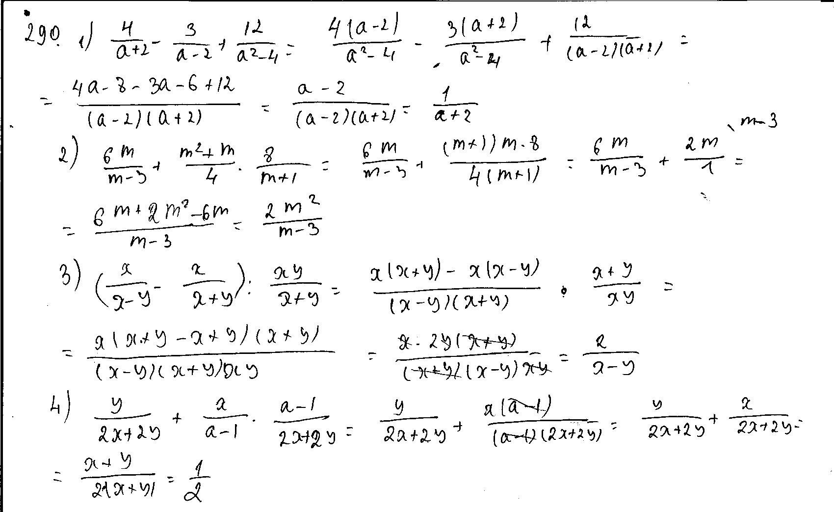
Помогите пожалуйста с алгеброй, номер 290

Приложения:

Ответы

Ответ дал: Dимасuk
0
:)))))))))))))))))))))))
Приложения:
Вас заинтересует