• Предмет: Математика
  • Автор: lisakouz
  • Вопрос задан 9 лет назад

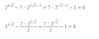
почему во втором действии эти выражения делятся на 2? Подробно, пожалуйста

Приложения:

Ответы

Ответ дал: виолетта500
0
потому что корень квадратный
Ответ дал: виолетта500
0
помоги решить геометрию
Вас заинтересует