• Предмет: Математика
  • Автор: konet24
  • Вопрос задан 9 лет назад

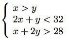
Найдите все такие целые x и y, для которых выполняются условия:

Приложения:

Ответы

Ответ дал: Shahbozz
0
ответ худеть только (11;9)
Вас заинтересует