Ответы
Ответ дал:
0
графиком функции является парабола, вытянутая по оси x в пять раз относительно графика
(для сравнения оба графика на фото)
1. график на отрезке [-5;5]
2. проверим, проходит ли график через точку А(0.1;0.002)
подставим значение аргумента в функцию и проверим, будет ли совпадать значение функции.
. ответ: да, проходит
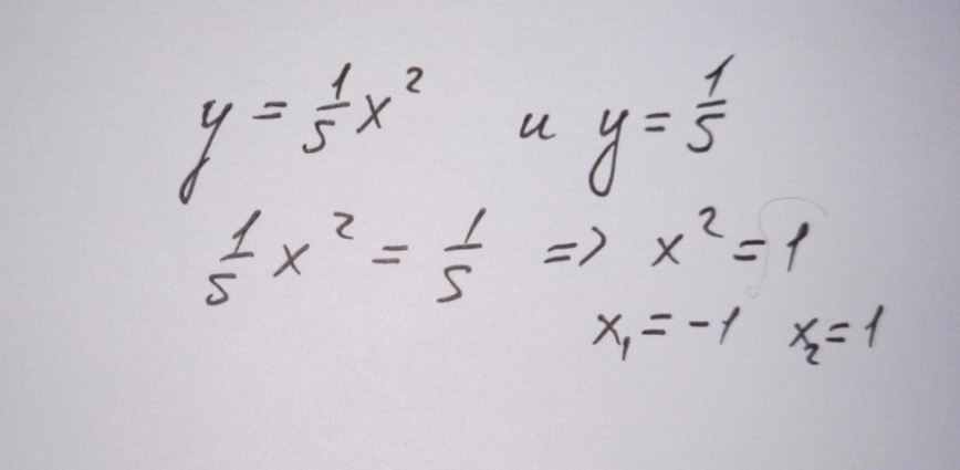
3. график функции
и прямая
пересекутся в точках
и
(решение на третьем фото)
4. наибольшее значение функции 5. наименьшее 0
1. график на отрезке [-5;5]
2. проверим, проходит ли график через точку А(0.1;0.002)
подставим значение аргумента в функцию и проверим, будет ли совпадать значение функции.
3. график функции
4. наибольшее значение функции 5. наименьшее 0
Приложения:
Вас заинтересует
2 года назад
2 года назад
7 лет назад
7 лет назад
10 лет назад
10 лет назад