Ответы
Ответ дал:
0
пишу сразу ответы
@10
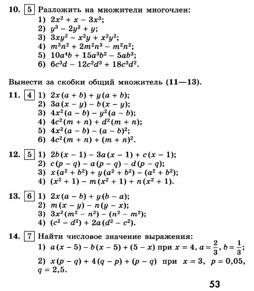
1) x(2x-1-3x^2)
2) y(y^2-2y+1)
3) xy(3y-x+xy)
4) m^2n^2(m+2n-1)
5) 5ab(2a^3+3a^2b-b^2)
6) 6c^2d(c-2d^2+3cd)
@11
1)(2x+y)(a+b)
2)(3a-b)(x-y)
3)(4x^2-y^2)(a-b)
4)(4c^2+d^2)(m+n)
не смогла решить 4 и 5 примеры
@12
1)(2b-3a+c)(x-1)
2)(c-a-d)(p-q)
3)(x+y-1)(a^2+b^2)
4)(1-m+n)(x^2+1)
@13
1)(2x-y)(a-b)
2)(m+n)(x-y)
3)(3x^2+1)(m^2-n^2)
4)(1-2a)(c^2-d^2)
@10
1) x(2x-1-3x^2)
2) y(y^2-2y+1)
3) xy(3y-x+xy)
4) m^2n^2(m+2n-1)
5) 5ab(2a^3+3a^2b-b^2)
6) 6c^2d(c-2d^2+3cd)
@11
1)(2x+y)(a+b)
2)(3a-b)(x-y)
3)(4x^2-y^2)(a-b)
4)(4c^2+d^2)(m+n)
не смогла решить 4 и 5 примеры
@12
1)(2b-3a+c)(x-1)
2)(c-a-d)(p-q)
3)(x+y-1)(a^2+b^2)
4)(1-m+n)(x^2+1)
@13
1)(2x-y)(a-b)
2)(m+n)(x-y)
3)(3x^2+1)(m^2-n^2)
4)(1-2a)(c^2-d^2)
Вас заинтересует
2 года назад
2 года назад
7 лет назад
7 лет назад
10 лет назад
10 лет назад
10 лет назад