Решить неравенство:
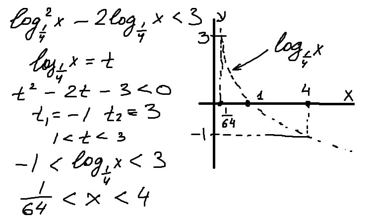
log² по основанию 1/4 от X - 2 log по основанию 1/4 от X < 3
У меня получилось (0;1). Это верно? Решала заменой переменной.
Ответы
Ответ дал:
0
ответ ошибочный. Для наглядности показываю график
Приложения:

Вас заинтересует
2 года назад
2 года назад
7 лет назад
7 лет назад
9 лет назад
9 лет назад
10 лет назад