Ответы
Ответ дал:
0
ответ: 2
решение писать?
решение писать?
Приложения:

Ответ дал:
0
см. прикрепленных файл
Ответ дал:
0
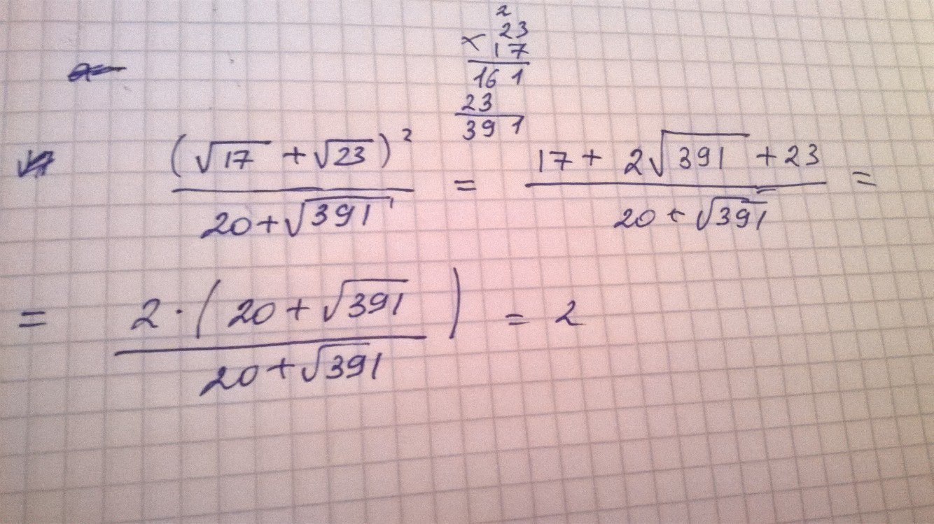
=[tex]17+2 sqrt{ 391}+23/20+sqrt{391}=40+2sqrt{391}/20+sqrt{391}=2(20+sqrt{391})/20+sqrt{391}=2
Приложения:

Ответ дал:
0
ответ 2
Вас заинтересует
2 года назад
7 лет назад
7 лет назад
9 лет назад
9 лет назад
10 лет назад