• Предмет: Геометрия
  • Автор: Алиночка7к
  • Вопрос задан 9 лет назад

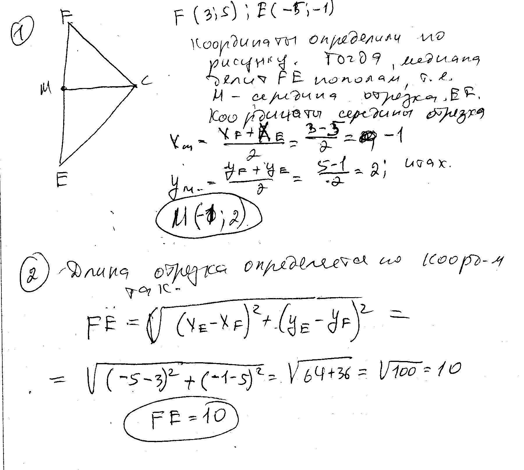
Люди сос помогите первый и второй номер с решением

Приложения:

Ответы

Ответ дал: ужнеужели
0
Работа с координатами.
Приложения:
Вас заинтересует