Ответы
Ответ дал:
0
Ответ ответ ответ ответ ответ
Приложения:

Ответ дал:
0
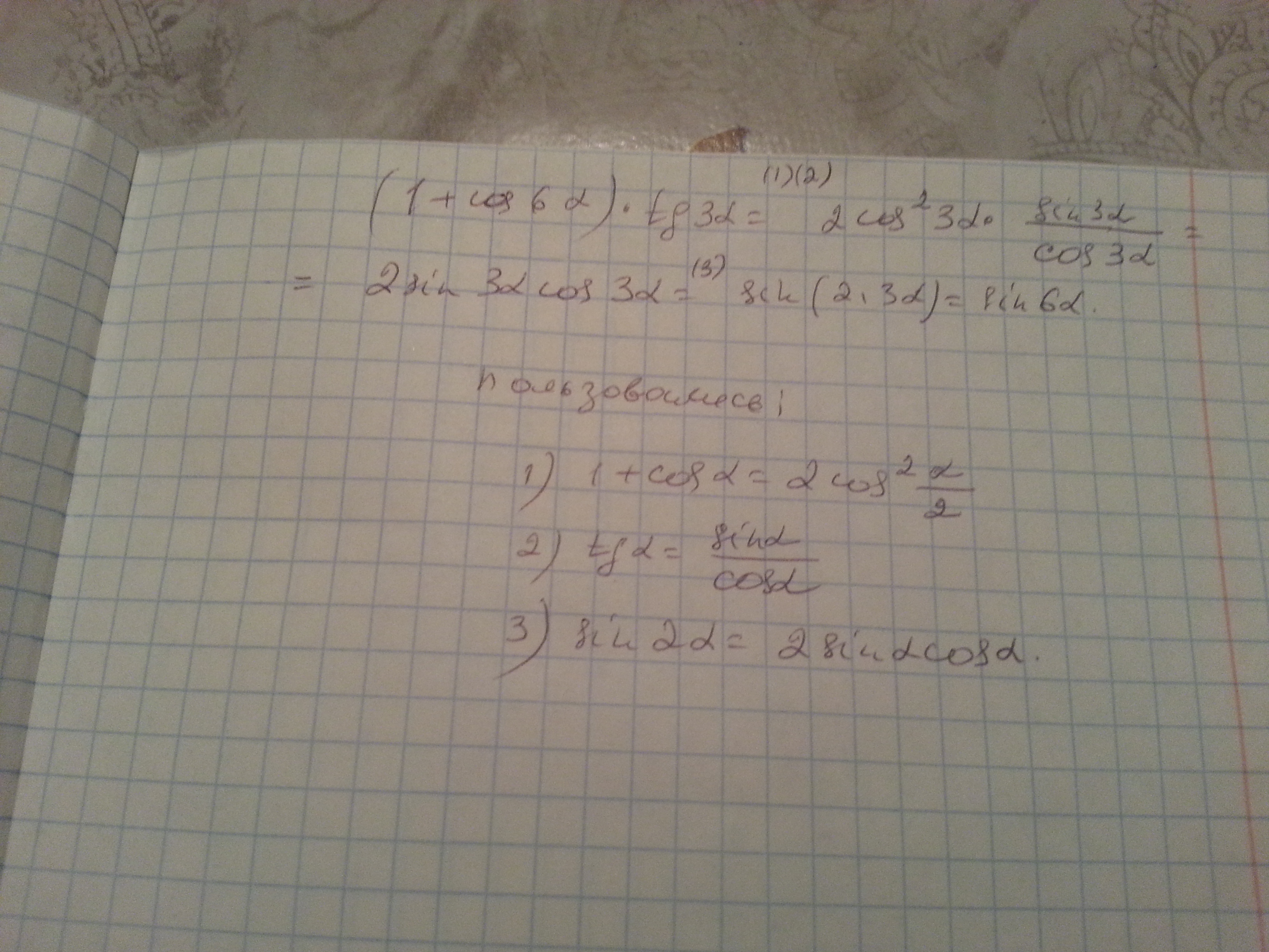
(1+cos6α)*tg3α=sin6α


=sin6α
=sin6α
Приложения:

Вас заинтересует
2 года назад
7 лет назад
7 лет назад
9 лет назад
10 лет назад