Ответы
Ответ дал:
0
A1-2
A2-3
Решение во вложении
A2-3
Решение во вложении
Приложения:

Ответ дал:
0
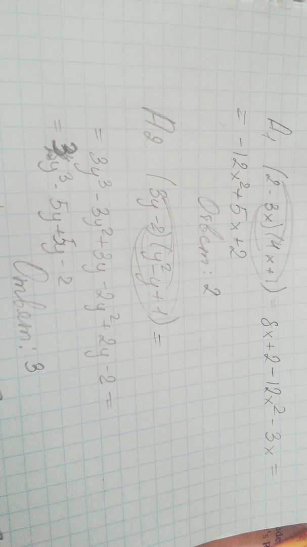
А1 - 2 5х-12х2+2
А2 - 3 3у-5у2+5у-2
А2 - 3 3у-5у2+5у-2
Приложения:

Вас заинтересует
2 года назад
2 года назад
7 лет назад
10 лет назад