• Предмет: Математика
  • Автор: Vladis1407
  • Вопрос задан 9 лет назад

4. Решите уравнение.
а) 2х2 + 4х = 0;
б) 3х – 5х2 = 0.
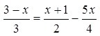
5. 5. Решите уравнение

Приложения:

Ответы

Ответ дал: Tarince
0
а)2х (х+4)=0
2х=0 4+х=0
х1 =0 х2=-4

б)х (3-5х)=0
х1=0 3-5х=0
5х =3
х=0.6
Вас заинтересует