• Предмет: Алгебра
  • Автор: sanyatkachukbc
  • Вопрос задан 9 лет назад

Помогите решить несобственные интегралы.

Приложения:

Ответы

Ответ дал: NNNLLL54
0
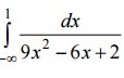
1); ;  intlimits^1_{-infty } frac{dx}{9x^2-6x+2} =limlimits _{Ato -infty } intlimits^1_{A} frac{dx}{(3x-1)^2+1}=\\=frac{1}{3}cdot limlimits _{Ato -infty }int limits _{A }^1frac{d(3x-1)}{(3x-1)^2+1}=frac{1}{3}cdot limlimits _{Ato -infty }arctg(3x-1)|_{A}^1=\\=frac{1}{3}cdot  limlimits _{A to -infty} (2-3A-1)=+infty ; ; ; to ; ; rasxoditsya

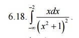
2); ;  intlimits^2_{-infty } frac{xcdot dx}{(x^2+1)^2}=[; int frac{xcdot dx}{(x^2+1)^2}=frac{1}{2}int frac{2xcdot dx}{(x^2+1)^2}=frac{1}{2}int frac{dt}{t^2}=frac{1}{2}cdot frac{-1}{t}+C]=\\=frac{1}{2}cdot  limlimits _{A to -infty}  intlimits^2_{A}frac{d(x^2+1)}{(x^2+1)^2}=frac{1}{2}cdot  limlimits _{A to -infty} (-frac{1}{2(x^2+1)})|_{A}^2=

=-frac{1}{4}  limlimits _{A to -infty} (frac{1}{5}-underbrace{frac{1}{A^2+1}}_{to 0})=-frac{1}{4}cdot frac{1}{5}=-frac{1}{20}; ; ; sxoditsya
Ответ дал: sanyatkachukbc
0
А второе точно правильно? Просто калькулятор онлайн показывает что ответ (-1/10)
Ответ дал: NNNLLL54
0
Да, извини, описка. Я два раза написала 1/2: один раз перед интегралом, второй в первообразной, в знаменателе, а я же уже учла её перед интегралом... Перед интегралом будет только 1/2, поэтому в ответе 1/2*1/5=1/10.
Ответ дал: sanyatkachukbc
0
Спасибо.
Вас заинтересует