• Предмет: Алгебра
  • Автор: Matsuru
  • Вопрос задан 11 лет назад

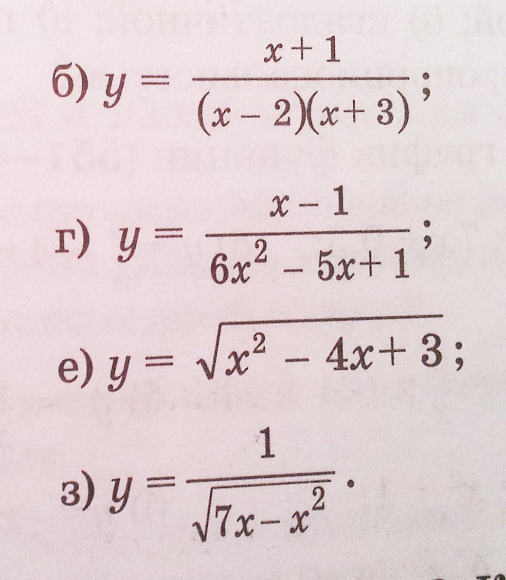
Найти область определения функции

Приложения:

Ответы

Ответ дал: klinskaya
0

б)все, кроме 2 и -3

г)все числа

е)все, кроме 3 и 1

з)все, кроме 0 и 7

Вас заинтересует