• Предмет: Алгебра
  • Автор: ashen
  • Вопрос задан 9 лет назад

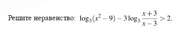
Решите неравенство:

Приложения:

Ответы

Ответ дал: Luluput
0
 log_{3}(x^2-9)-3log_{3} frac{x+3}{x-3} textgreater  2
ОДЗ:
 left { {{x^2-9 textgreater  0} atop { frac{x+3}{x-3} textgreater  0 }} right.
(x-3)(x+3) textgreater  0

---------+-------(-3)--------- - --------(3)--------+--------
/////////////////////                           //////////////////////
x ∈ (- ∞ ;-3) ∪ (3;+ ∞ )

log_{3}[(x-3)(x+3)]-3(log_{3} (x+3)-log_3(}{x-3})) textgreater  2
log_{3}(x-3)+log_3(x+3)-3log_{3} (x+3)+3log_3(}{x-3}) textgreater  2
4log_{3}(x-3)-2log_{3} (x+3) textgreater  2
2log_{3}(x-3)-log_{3} (x+3) textgreater  1
2log_{3}(x-3) textgreater  log_{3} (x+3)+ 1
log_{3}(x-3)^2 textgreater  log_{3} (x+3)+ log_33
log_{3}(x-3)^2 textgreater  log_{3}[ (x+3)*3]
log_{3}(x-3)^2 textgreater  log_{3} (3x+9)
(x-3)^2 textgreater  3x+9
 x^{2} -6x+9-3x-9 textgreater  0
 x^{2} -9x textgreater  0
x(x-9) textgreater  0
------+------(0)------ - -------(9)-------+----------
/////////////////                     /////////////////////
учтем ОДЗ

Ответ: (- ∞; -3) ∪ (9; + ∞)
Вас заинтересует