Решите пожалуйста номер 4 и 5 с решением, первого поставлю как лучший ответ ! Пожалуйста
Приложения:

Ответы
Ответ дал:
0
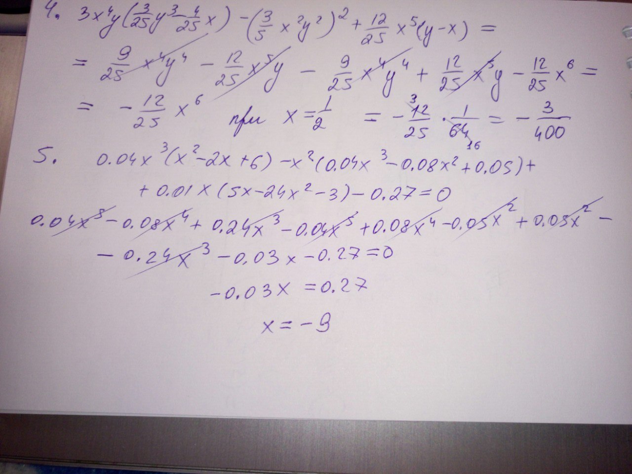
решение на фото ниже
Приложения:

Вас заинтересует
7 лет назад
9 лет назад
10 лет назад
10 лет назад