1. Написать электронное строение Cr. Подчеркнуть валентные электроны и изобразить их графически. Определить число электронов с сочетанием квантовых чисел n=4, 1=2.
2. Определить, как изменится константа равновесия реакции 4Р + 3О2 ↔ 2Р2О3 (О2 и Р2О3), если увеличить концентрацию кислорода и фосфора в 2 раза? Сформулировать принцип, используемый при решении данной задачи.
3. Написать в молекулярном и молекулярно-ионном виде шесть уравнений ступенчатого гидролиза нитрата кадмия.
4. С помощью метода полуреакций поставить коэффициенты в уравнение окислительно-восстановительной реакции:
Mn3O4 + KClO3 + K2CO3 = K2MnO4 + KCl + CO2
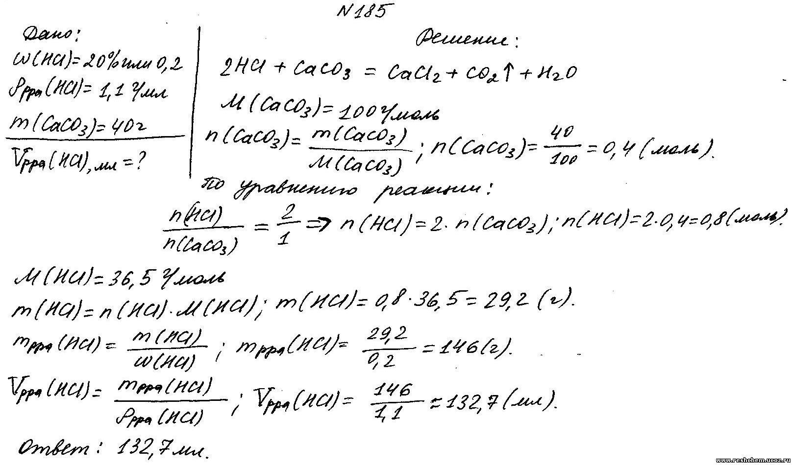
5. Cколько миллилитров 20%-ного раствора HCl плотностью 1,1г/см3 потребуется на взаимодействие с 40г CaCO3?
Ответы
Ответ дал:
0
5. Cколько миллилитров 20%-ного раствора HCl плотностью 1,1г/см3 потребуется на взаимодействие с 40г CaCO3?
Приложения:

Вас заинтересует
2 года назад
7 лет назад
9 лет назад
9 лет назад
10 лет назад