• Предмет: Математика
  • Автор: футболист102
  • Вопрос задан 11 лет назад

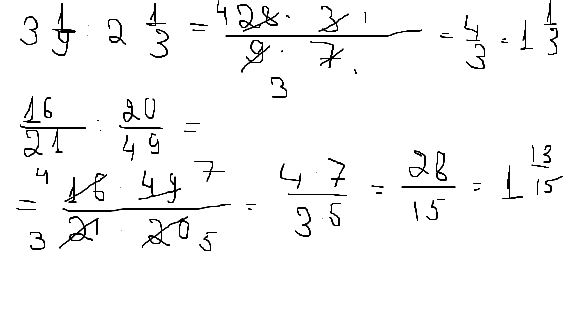
3 1/9:2 1/3 , 16/21:20/49

Ответы

Ответ дал: BriannaV
0

Надеюсь, написала понятно.

Приложения:
Ответ дал: nastya1432
0

1)28/9:7/3= при делении дробей мы заменяем умножением и 2 дробь переворачивается= 28/9*3/7= сокращается все, и получается=4/3
2)16/21:20/49= также как и в 1 примере= 16/21*49/20=28/15=1 13/15

Приложения:
Вас заинтересует