• Предмет: Математика
  • Автор: AdelinaCookie
  • Вопрос задан 9 лет назад

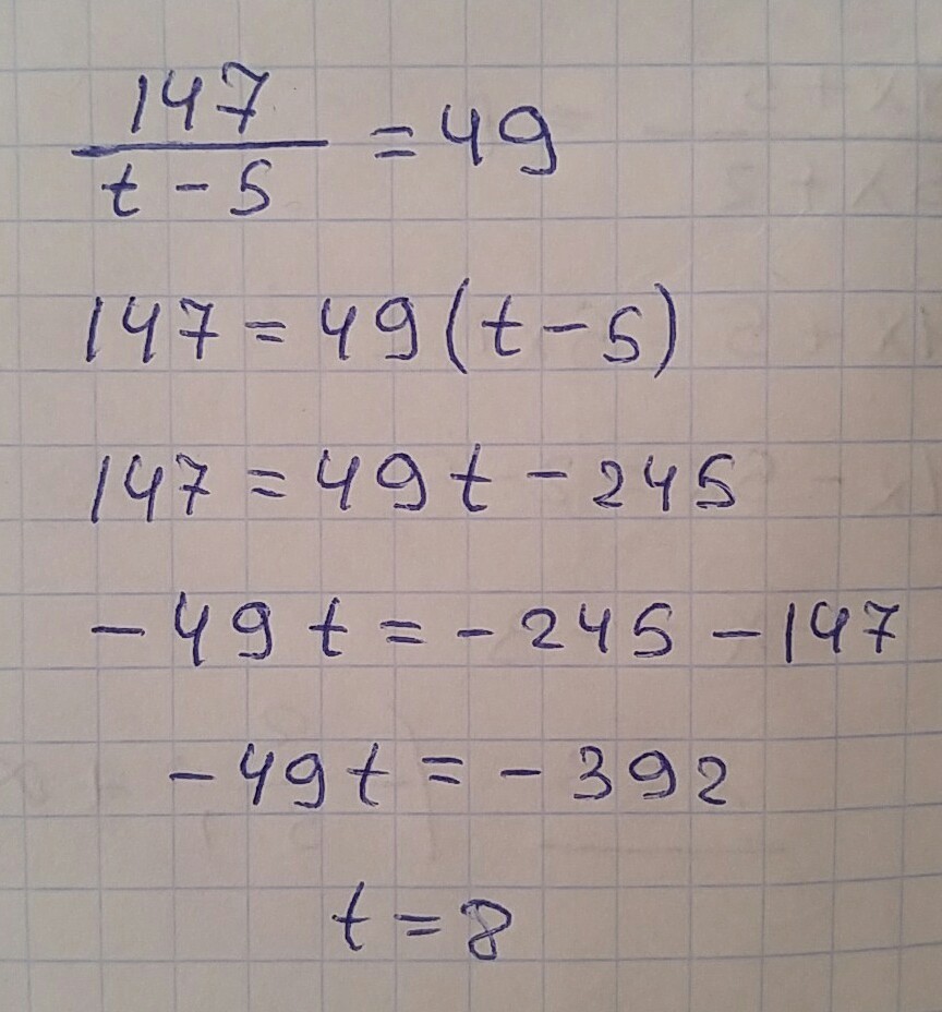
147/t-5=49
Решите уравнение

Ответы

Ответ дал: GoodByee
0
Ваша задача решена ответ можете посмотрет в вложение
Приложения:
Вас заинтересует