• Предмет: Математика
  • Автор: ветер174
  • Вопрос задан 9 лет назад

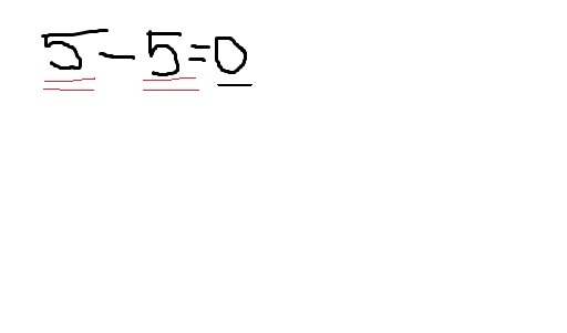
в записи 5-5=0 подчеркни разность одной чертой,а её значение двумя

Ответы

Ответ дал: Влад12190238
0
5 разность и 5 значение вот и все

Ответ дал: Санечка31
0

Первая картинка, 5 и 5- уменьшаемое и вычитаемое, то есть значение, а разность-это ответ



Приложения:
Вас заинтересует