• Предмет: Алгебра
  • Автор: valentin84
  • Вопрос задан 11 лет назад

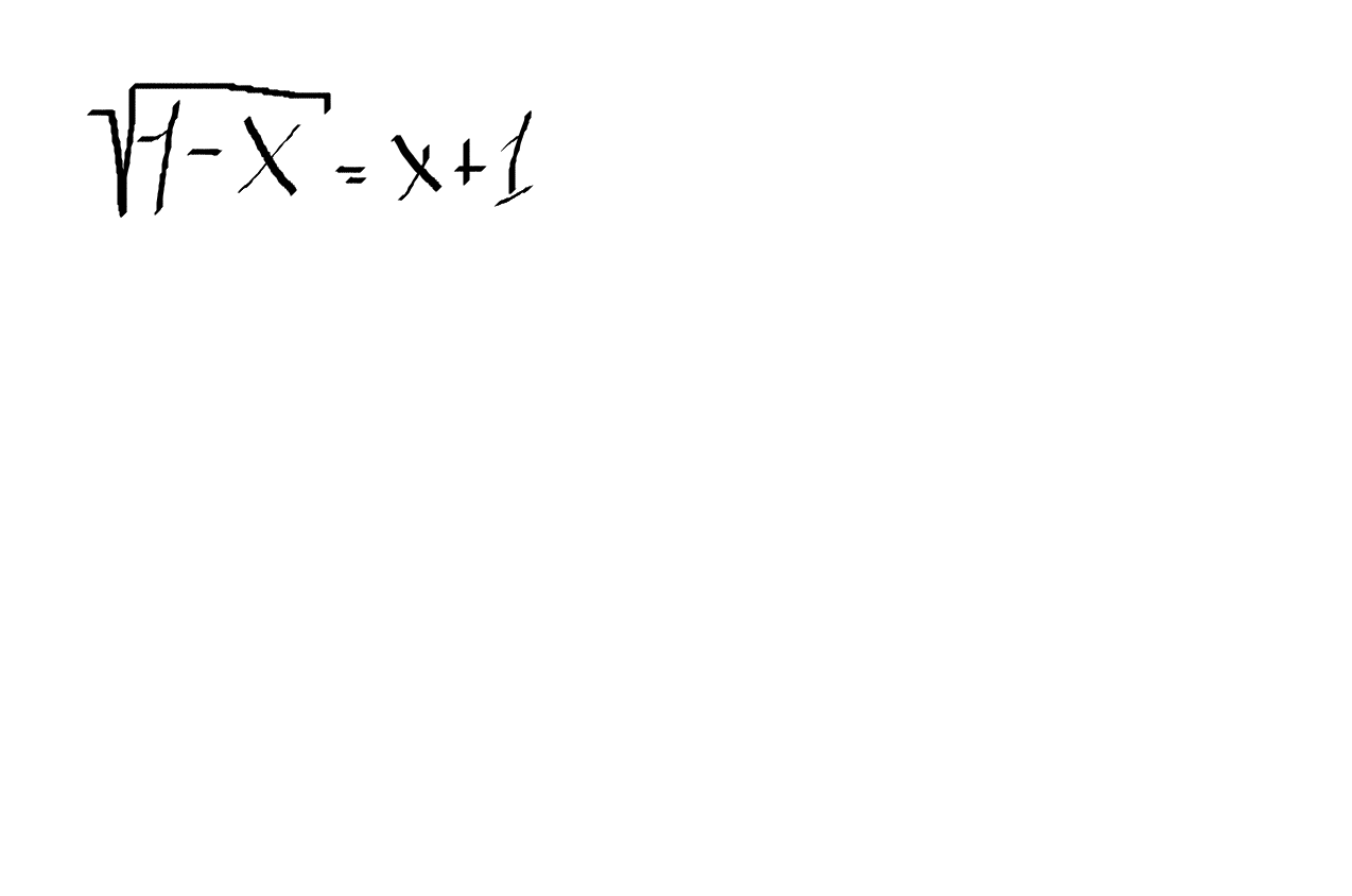
решите пжл! 2root(1-X)=X+1

Приложения:

Ответы

Ответ дал: Mydrый
0

Решение во вложении

********************************************************

Приложения:
Ответ дал: SeLeNkA96
0

1-x=(x+1)²        

1-x=x²+1+2x 

-x²-3x=0

x²-3x=0

x(x-3)=0

x=0 или х=-3

т.к. возведение обеих частей переход неравносильный нужно сделать проверку корней.

оба корня подходят,проверим также

1-х больше либо равно нуля(подкоренное выражение должно быть неотрицательно)

тогда получим

х меньше либо равно 1

оба корня подходят

Ответ:-3;0.

Приложения:
Вас заинтересует