• Предмет: Алгебра
  • Автор: blabla357
  • Вопрос задан 9 лет назад

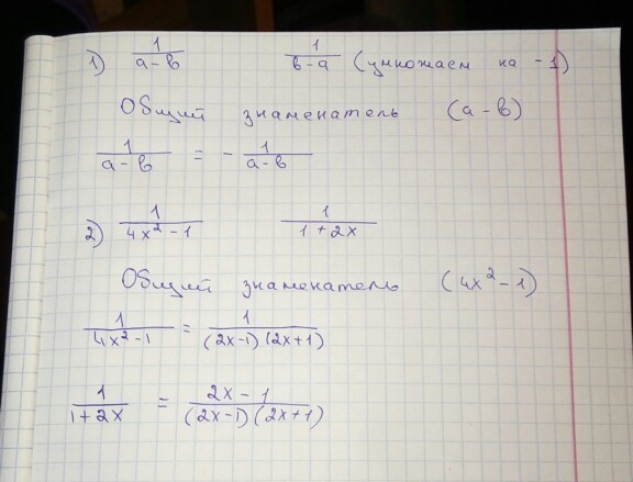
Привести к общему знаменателю:
1/a-b и 1/b-a
1/4x^2 -1 и 1/1+2x

Ответы

Ответ дал: ВладимирБ
0
Решение смотри на фото
Приложения:
Ответ дал: Кариночка78
0
Ответ смотри на фото...........
Приложения:
Вас заинтересует