• Предмет: Алгебра
  • Автор: Trugliy
  • Вопрос задан 9 лет назад

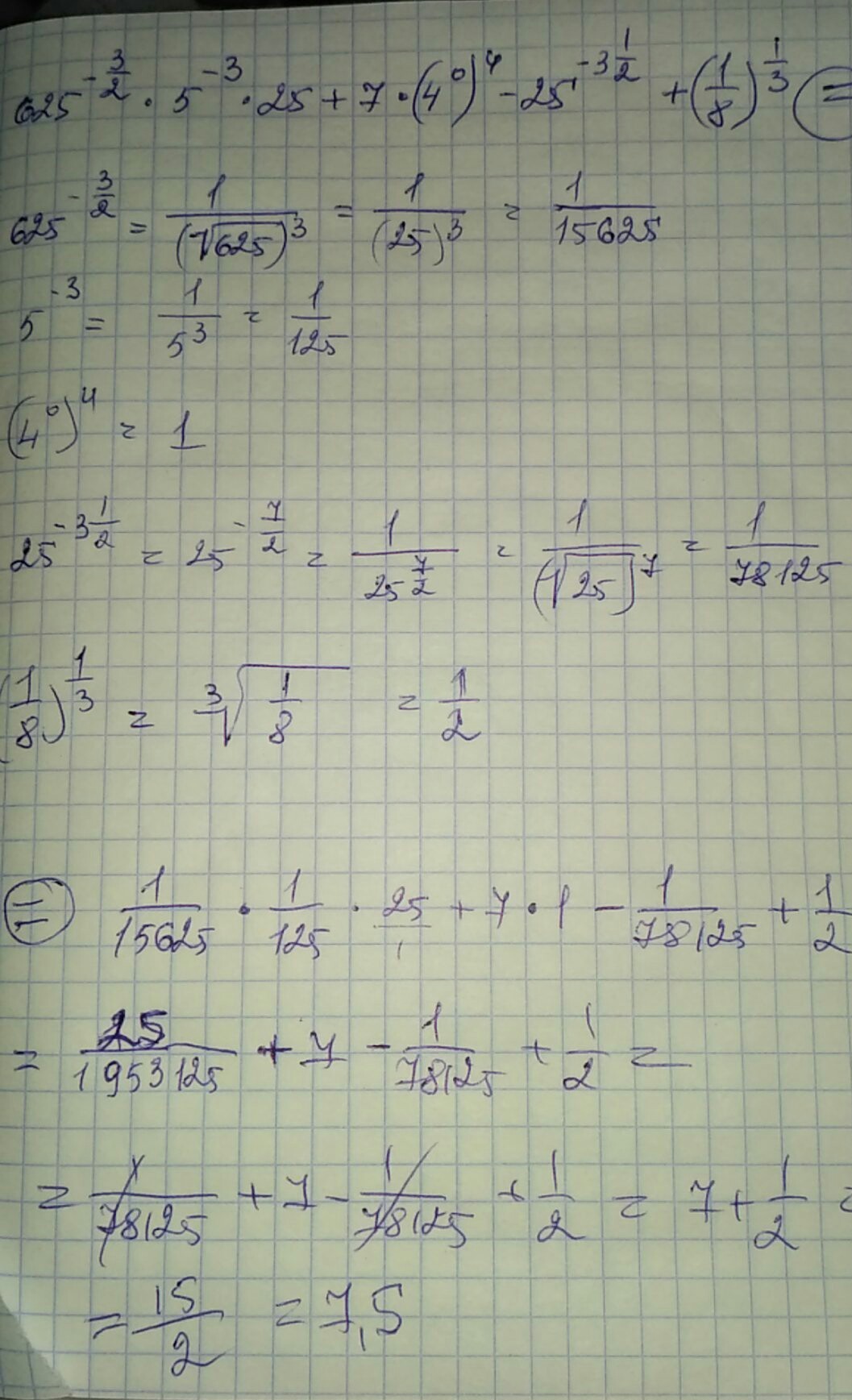
Пожалуйста, решите 3-е задание во 2-ом варианте

Приложения:

Ответы

Ответ дал: sergeevaleo
0
возможно такое решение
Приложения:
Ответ дал: SvetlanaRev
0
ответ и решение на фотографии
Приложения:
Вас заинтересует