• Предмет: Математика
  • Автор: JOHNVATSON
  • Вопрос задан 9 лет назад

Помогите пожалуйста!!!!
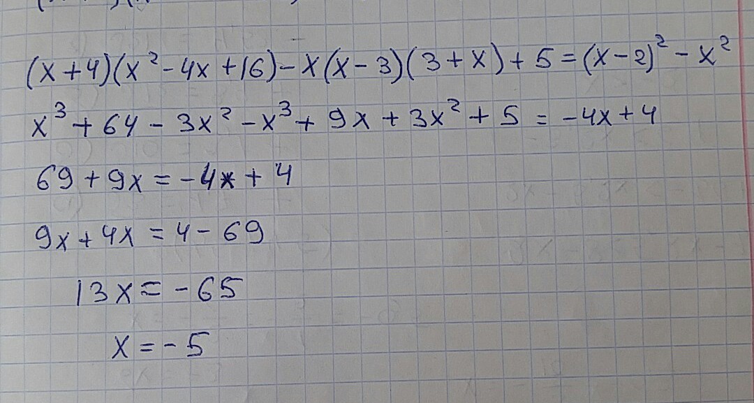
(x+4)*(x^2-4x+16)-x*(x-3)*(3+x)+5=(x-2)^2-x^2

Ответы

Ответ дал: GoodByee
0
Ваша задача решена ответ можете посмотрет в вложение
Приложения:
Вас заинтересует