• Предмет: Алгебра
  • Автор: nikita228nik1
  • Вопрос задан 9 лет назад

Помогите решить пожалуйста.За раннее спасибо. примеры под А) и Б)

Приложения:

Ответы

Ответ дал: Лавган
0
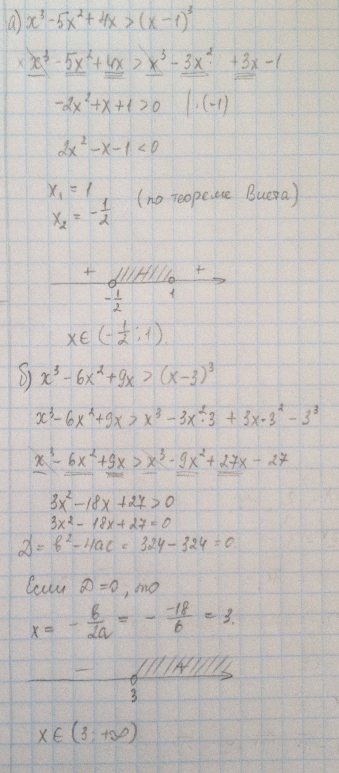
решение задания на фото
Приложения:
Ответ дал: lБезднаl
0
На всякий случай. Вдруг пригодится)
Приложения:
Вас заинтересует