Ответы
Ответ дал:
0
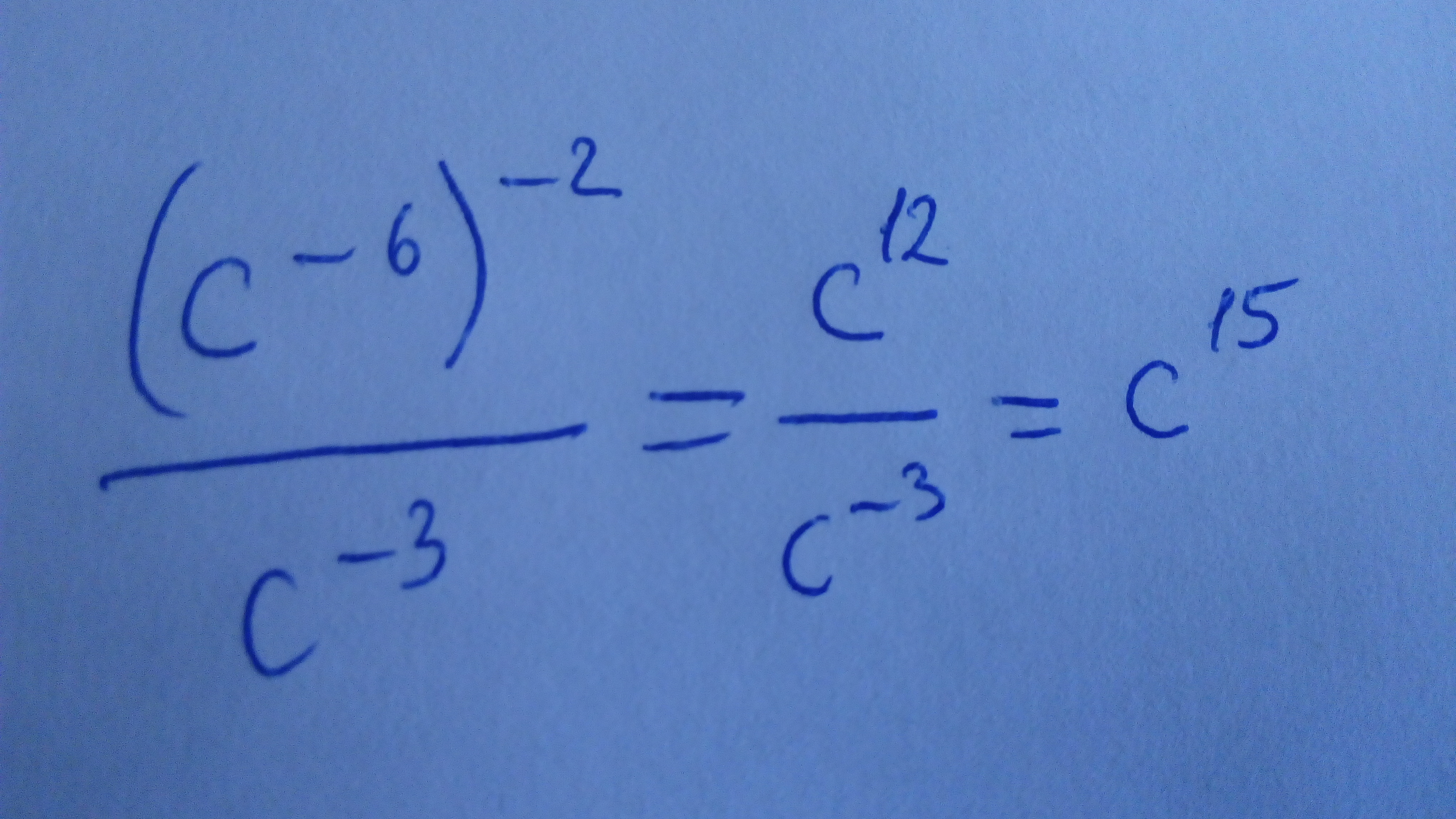
При возведении степени в степень показатели перемножаются.
(C^(-6))^(-2) = C^(-6*(-2)) = C^12
При делении степени вычитаются.
С^12/C^(-3) = C^(12-(-3)) = C^(12+3) = C^15
(C^(-6))^(-2) = C^(-6*(-2)) = C^12
При делении степени вычитаются.
С^12/C^(-3) = C^(12-(-3)) = C^(12+3) = C^15
Ответ дал:
0
Тут просто нужно знать свойства степеней и решать по ним. Посмотри на моё решение, может поймёшь.
Приложения:

Вас заинтересует
2 года назад
2 года назад
7 лет назад
7 лет назад
9 лет назад
10 лет назад