Вычислить объем (н.у.) воздуха (долю кислорода в воздухе принять за 20%), необходимого для сжигания 11,2л изопрена.
Ответы
Ответ дал:
0
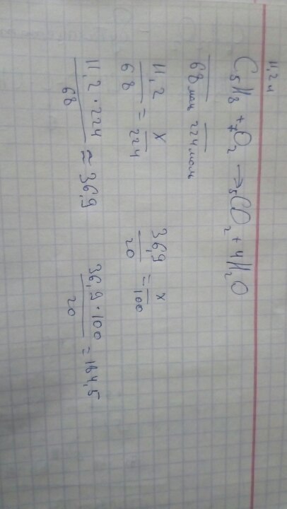
Ответ:184,5
.......................
.......................
Приложения:

Ответ дал:
0
1. Уравниванием
Ответ дал:
0
3. Пропорцией находите массу кислорода (11,2л так относится к 68моль, как Х относится к 224) Получаем О2 примерно равно 36,9л
Ответ дал:
0
4. Если масса кислорода 36,9л так относится к 20%, как Х к 100%, то 36,9*100/20 = 184,5л воздуха
Вас заинтересует
2 года назад
2 года назад
7 лет назад
7 лет назад
10 лет назад