• Предмет: Математика
  • Автор: Курлык60
  • Вопрос задан 9 лет назад

Помогите решить примеры

Приложения:

Ответы

Ответ дал: софа273
0
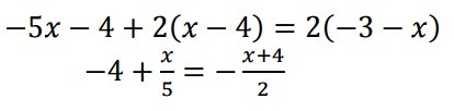
-5х-4+2х-8=-6-2х
-3х-12=-6-2х
-3х-12=-6+12
-х=6
Х=-6
Вас заинтересует