Ответы
Ответ дал:
0
/ - знак дроби
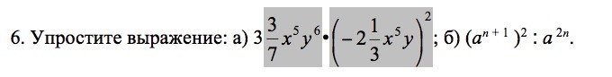
а) 3*3/7х5у6*(-2*1/3х5у)2=24/7х5у6*(-7/3х5у)2=24/7х5у6*(49/9х10у2)= 56/3х15у8=18*2/3х15у8 * - знак умножения
б) (a*n+1)*2:а*2n=a*2n+2:a*2n=a*2
* - знак возведения в степень
а) 3*3/7х5у6*(-2*1/3х5у)2=24/7х5у6*(-7/3х5у)2=24/7х5у6*(49/9х10у2)= 56/3х15у8=18*2/3х15у8 * - знак умножения
б) (a*n+1)*2:а*2n=a*2n+2:a*2n=a*2
* - знак возведения в степень
Вас заинтересует
2 года назад
2 года назад
7 лет назад
10 лет назад
10 лет назад