Ответы
Ответ дал:
0
1
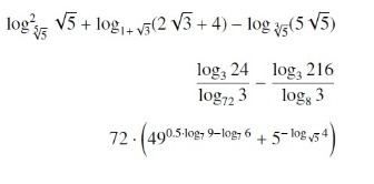
![(log( sqrt[5]{5} ) sqrt{5} )^2+log(1+ sqrt{3)} (1+ sqrt{3} )^2- (log( sqrt[5]{5} ) sqrt{5} )^2+log(1+ sqrt{3)} (1+ sqrt{3} )^2-](https://tex.z-dn.net/?f=%28log%28+sqrt%5B5%5D%7B5%7D+%29+sqrt%7B5%7D+%29%5E2%2Blog%281%2B+sqrt%7B3%29%7D+%281%2B+sqrt%7B3%7D+%29%5E2-)
![log( sqrt[3]{5} ) sqrt{5^3} =(1/2^1/5)^2+2-(3/2:1/3)=6,25+2-4,5=3,75 log( sqrt[3]{5} ) sqrt{5^3} =(1/2^1/5)^2+2-(3/2:1/3)=6,25+2-4,5=3,75](https://tex.z-dn.net/?f=log%28+sqrt%5B3%5D%7B5%7D+%29+sqrt%7B5%5E3%7D+%3D%281%2F2%5E1%2F5%29%5E2%2B2-%283%2F2%3A1%2F3%29%3D6%2C25%2B2-4%2C5%3D3%2C75)
2
log(3)(3*8)/log(9*8)(3 -log(3(8*27)/log(8)3=
(1+3log(3)2):1/(2+3log(3)2 -(3+3log(3)2):1/3log(3)2=
=(1+3log(3)2)(2+3log(3)2)-3log(3)2*(3+3log(3)2)=
=3+3log(3)2+6log(3)2+9log²(3)2-9log(3)2-9log²(3)2=2
3
42*(49^0,5log(7)9 : 49^log(7)6+5^log(√5)(1/4))=
=72*(7^log(7)9:7^lof(7)36 +√5^log(√5)(1/16))=
=72*(9:36+1/16)=72*9/36+72*1/16=18+4,5=22,5
2
log(3)(3*8)/log(9*8)(3 -log(3(8*27)/log(8)3=
(1+3log(3)2):1/(2+3log(3)2 -(3+3log(3)2):1/3log(3)2=
=(1+3log(3)2)(2+3log(3)2)-3log(3)2*(3+3log(3)2)=
=3+3log(3)2+6log(3)2+9log²(3)2-9log(3)2-9log²(3)2=2
3
42*(49^0,5log(7)9 : 49^log(7)6+5^log(√5)(1/4))=
=72*(7^log(7)9:7^lof(7)36 +√5^log(√5)(1/16))=
=72*(9:36+1/16)=72*9/36+72*1/16=18+4,5=22,5
Вас заинтересует
2 года назад
7 лет назад
10 лет назад
10 лет назад