• Предмет: Математика
  • Автор: Анита005
  • Вопрос задан 9 лет назад

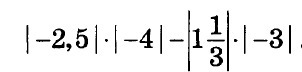
Решите пожалуйста.
Не просто ответ,а с решением.
Заранее спасибо всем умным людям(я тупой чел)

Приложения:

Ответы

Ответ дал: ViktoriaTohtarova
0
Вот решение.Надеюсь помогла.
Приложения:
Вас заинтересует