• Предмет: Алгебра
  • Автор: MrsHotaru
  • Вопрос задан 11 лет назад

Помогите решить систему уравнений !Заранее СПАСИБО!!!!!!

Приложения:

Ответы

Ответ дал: яВиктория
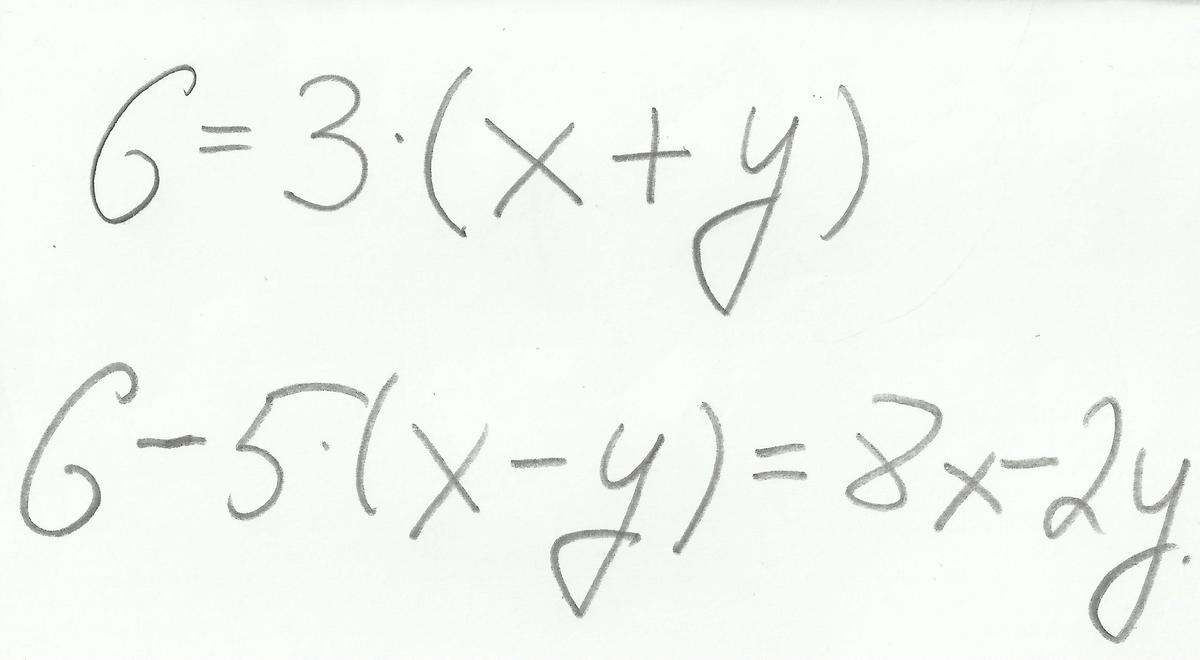
0

3х+3у=6

6-5х+5у-8х+2у=0

 

3х+3у=6

-13х+7у=-6

 

х=(6-3у)/3

-13(2-у)+7у=-6

 

-26+13у+7у=-6

20у=20

у=1

х=(6-3*1)/3=1

 

Ответ: х=1, у=1

 

Вас заинтересует