• Предмет: Математика
  • Автор: AlenaIrinina
  • Вопрос задан 9 лет назад

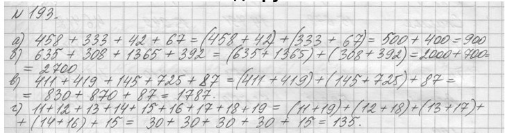
Ребята помогите пожалуйста,дидактика 5 класс,номера 191,192,193,195,199,200,201,202 пожалуйста даю 50

Приложения:

Ответы

Ответ дал: anka225
0
вот как то как если не так ты говори) а остальное не поместилось  в г д з посмотри вбей в интернет 
Приложения:
Ответ дал: AlenaIrinina
0
а как сайт называется или там набить как (набивала не чего не нашла
Вас заинтересует