• Предмет: Алгебра
  • Автор: DEADЕYE
  • Вопрос задан 9 лет назад

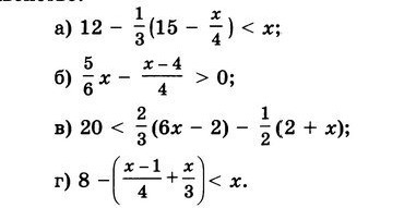
помогите Найдите наибольшее целое число,при котором верно неравенство.подробно

Приложения:

Ответы

Ответ дал: karlmikhailoff
0
на фото
.......................
Приложения:
Ответ дал: DEADЕYE
0
спасибо
Ответ дал: karlmikhailoff
0
наибольшее целое число только в г)2
Ответ дал: karlmikhailoff
0
в остальных неравенствах до + бесконечности
Вас заинтересует