• Предмет: Алгебра
  • Автор: julikonnar
  • Вопрос задан 9 лет назад

Алгебра 10 класс
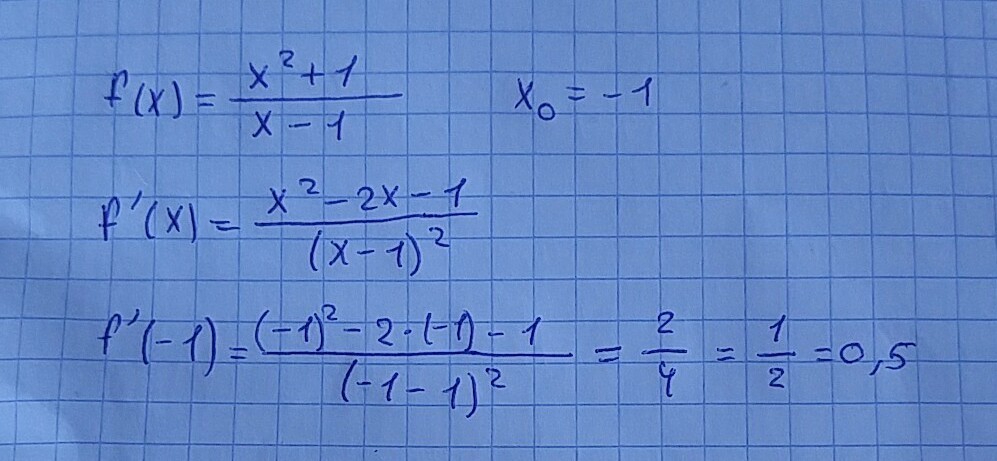
Найти производную:
f(x)=(x^2+1/x-1), x0=-1

Ответы

Ответ дал: GoodByee
0
Ваша задача решена ответ можете посмотрет в вложение
Приложения:
Вас заинтересует