Ответы
Ответ дал:
0
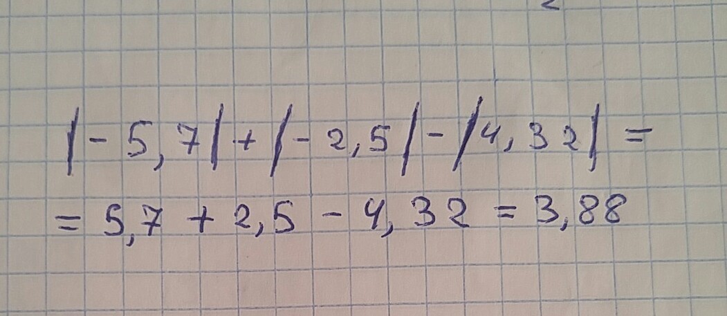
5,7+2,5-4,32=3,88
(модуль вседа положительное число)
Ответ:3,88
(модуль вседа положительное число)
Ответ:3,88
Ответ дал:
0
Ваша задача решена ответ можете посмотрет в вложение
Приложения:

Вас заинтересует
2 года назад
7 лет назад
7 лет назад
9 лет назад
9 лет назад
10 лет назад