• Предмет: Математика
  • Автор: Аноним
  • Вопрос задан 9 лет назад

ДАЮ 15 БАЛЛОВ
РЕШИТЕ ПРИМЕР СРОЧНООО
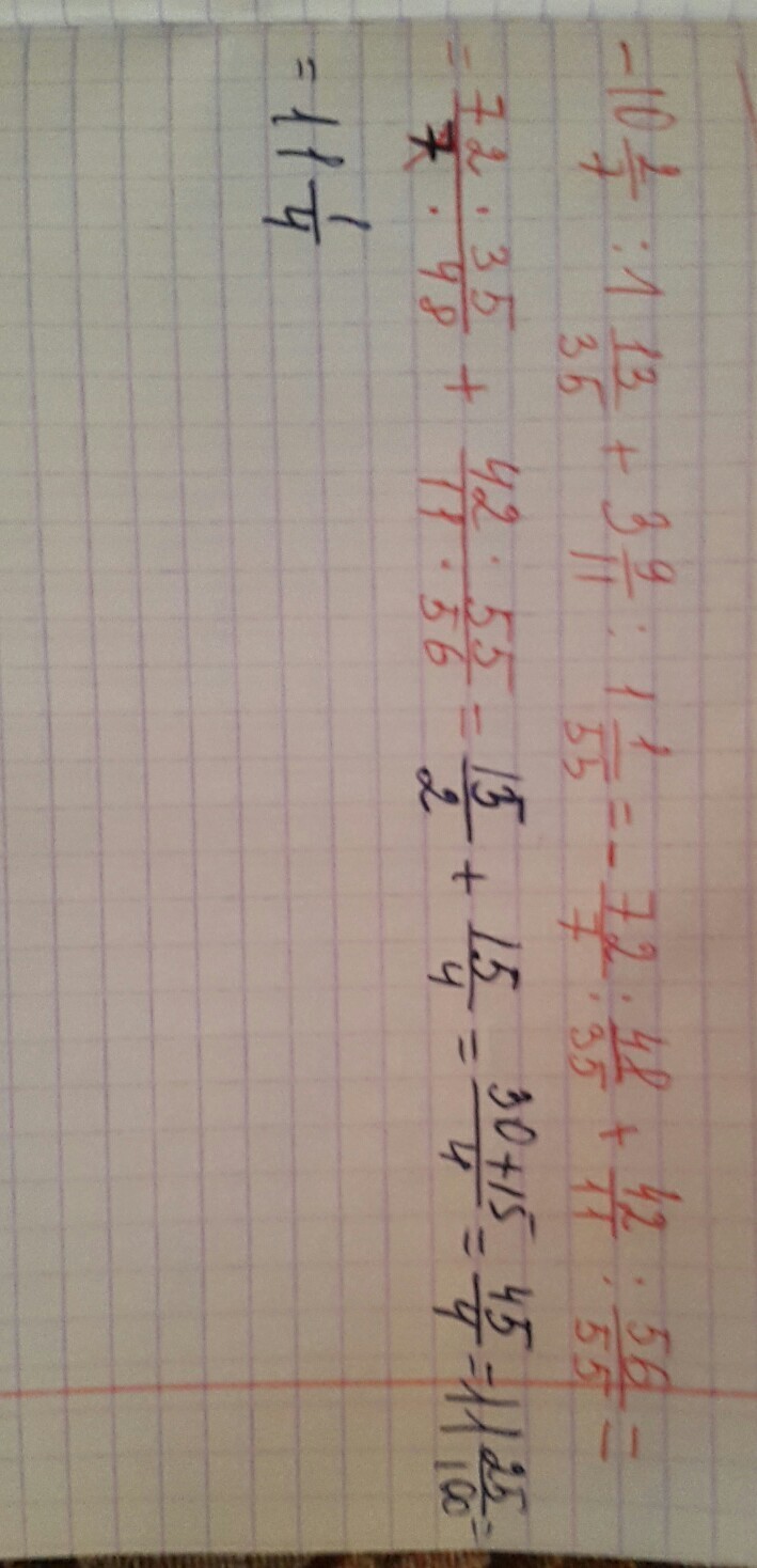
-10 2/7÷ 1 13/35+3 9/11÷1 1/55

Ответы

Ответ дал: aaronwow
0
вот, пожалуйста. почерк вроде понятный
Приложения:
Вас заинтересует