• Предмет: Геометрия
  • Автор: kotenochek2015
  • Вопрос задан 9 лет назад

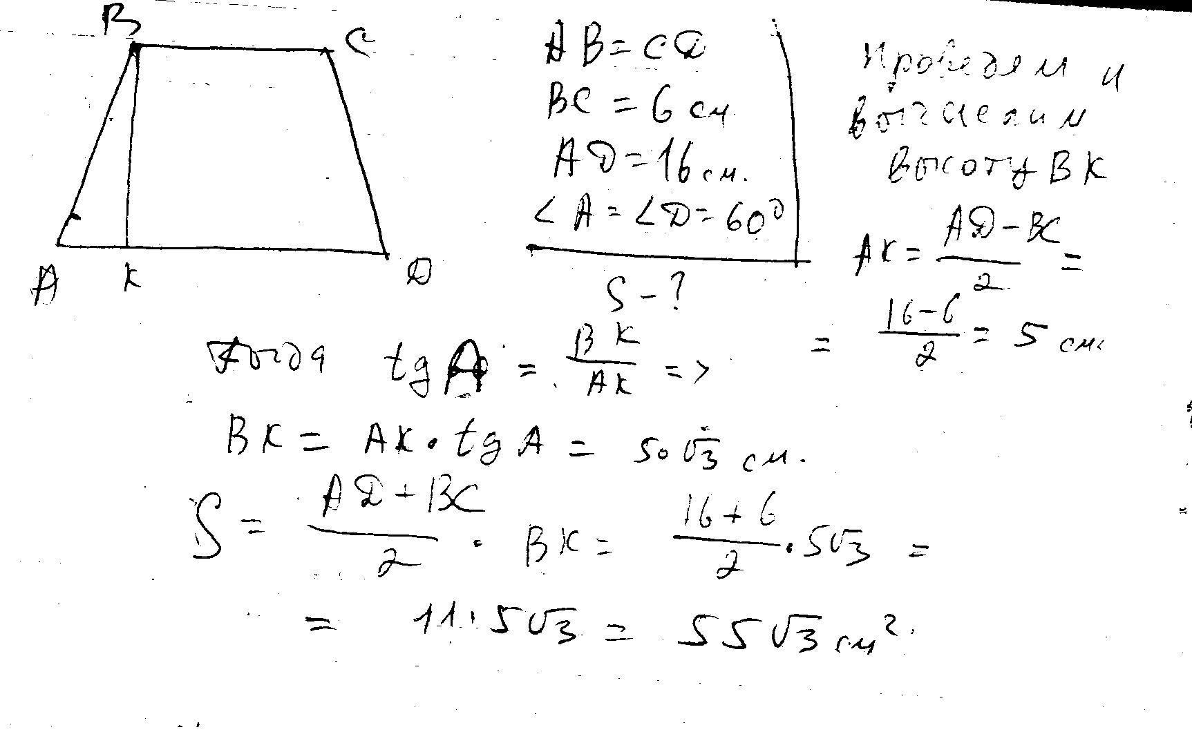
Найдите площадь равнобедренной трапеции, основания которой равны 16 см и 6 см, а один из углов равен 60 градусов.

Ответы

Ответ дал: ужнеужели
0
Найдите площадь равнобедренной трапеции, основания которой равны 16 см и 6 см, а один из углов равен 60 градусов.
Приложения:
Вас заинтересует