Ответы
Ответ дал:
0
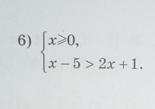
1) х≥0
2) х-5>2х+1
х-2х>1+5
-х>6
х<-6
не имеет общего промежутка
пустое множество
2) х-5>2х+1
х-2х>1+5
-х>6
х<-6
не имеет общего промежутка
пустое множество
Ответ дал:
0
спс бро
Вас заинтересует
2 года назад
2 года назад
7 лет назад
7 лет назад
10 лет назад
10 лет назад