Ответы
Ответ дал:
0
1)
Program n1;
var x,y: real;
begin
readln(x,y);
writeln(x+y);
writeln(x-y);
writeln(x*y);
writeln(x/y);
end.
2)
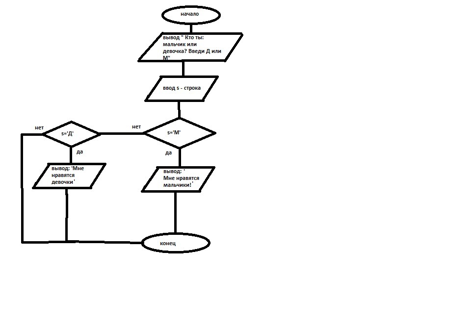
Program n2;
var s: string;
begin
writeln('Кто ты: мальчик или девочка? Введи Д или М');
readln(s);
if s='М' then writeln('Мне нравятся мальчики!')
else if s='Д' then writeln('Мне нравятся девочки!');
end.
Program n1;
var x,y: real;
begin
readln(x,y);
writeln(x+y);
writeln(x-y);
writeln(x*y);
writeln(x/y);
end.
2)
Program n2;
var s: string;
begin
writeln('Кто ты: мальчик или девочка? Введи Д или М');
readln(s);
if s='М' then writeln('Мне нравятся мальчики!')
else if s='Д' then writeln('Мне нравятся девочки!');
end.
Приложения:


Вас заинтересует
2 года назад
7 лет назад
9 лет назад
10 лет назад