Ответы
Ответ дал:
0
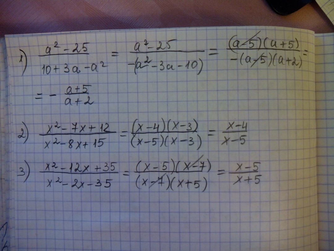
решение на прикрепленном изображении
PS корни подбирались по теореме Виета, можно ещё через дискриминант, и квадратный трехчлен раскладывался по формуле
х²+bx+c=(x-x₁)(x-x₂), где x₁, x₂ - корни соответствующего квадратного уравнения
PS корни подбирались по теореме Виета, можно ещё через дискриминант, и квадратный трехчлен раскладывался по формуле
х²+bx+c=(x-x₁)(x-x₂), где x₁, x₂ - корни соответствующего квадратного уравнения
Приложения:
Вас заинтересует
3 года назад
7 лет назад
7 лет назад
10 лет назад
10 лет назад
10 лет назад