• Предмет: Математика
  • Автор: setora2002
  • Вопрос задан 9 лет назад

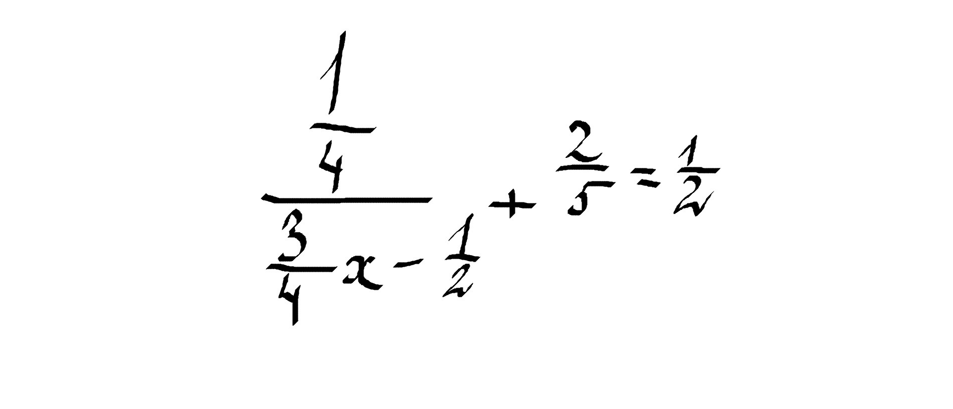
решите уравнение плиз ответ =4

Приложения:

Ответа на этот вопрос пока нет. Попробуйте найти его через форму поиска.

Вас заинтересует