Шарик катится по горизонтальной плоскости со скорость 10м/с пенпендикулярно стенке, ударяется и отскакивает со скоростью 8м/с. Какое количество теплоты выделится при ударе? Масса шарика 1кг. ПОЖАЛУСТА СКАЖИТЕ ПО КАКОЙ ФОРМУЛЕ!
Ответы
Ответ дал:
0
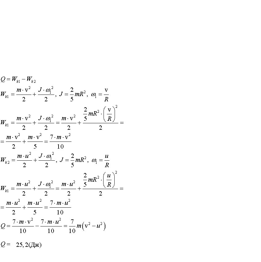
Решается не по одной формуле, поэтому проще с решением)
Приложения:

Вас заинтересует
2 года назад
7 лет назад
9 лет назад
10 лет назад
10 лет назад