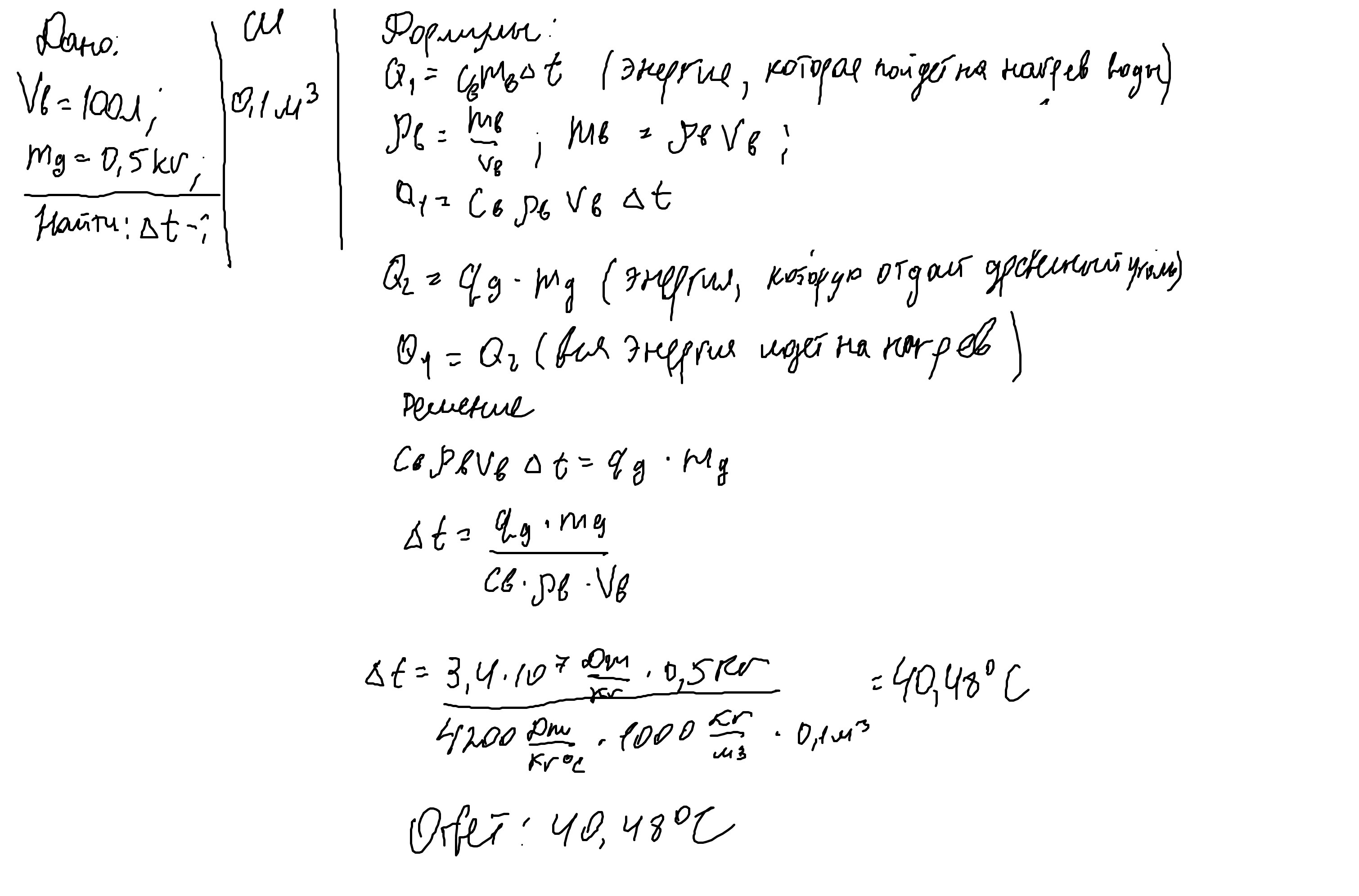
Как изменится температура 100л воды, если вся теплота,выделяется при сжигании 0,5 кг древесного угля, пойдет на нагревание?
Ответы
Ответ дал:
0
...........................................см рисунок
Приложения:

Вас заинтересует
2 года назад
7 лет назад
9 лет назад
9 лет назад
10 лет назад