• Предмет: Алгебра
  • Автор: Anastasiya5620
  • Вопрос задан 9 лет назад

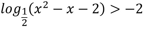
решите логарифмическое неравенство

Приложения:

Ответа на этот вопрос пока нет. Попробуйте найти его через форму поиска.

Вас заинтересует