Ответы
Ответ дал:
0
Ответ ответ ответ ответ ответ ответ
Приложения:

Ответ дал:
0
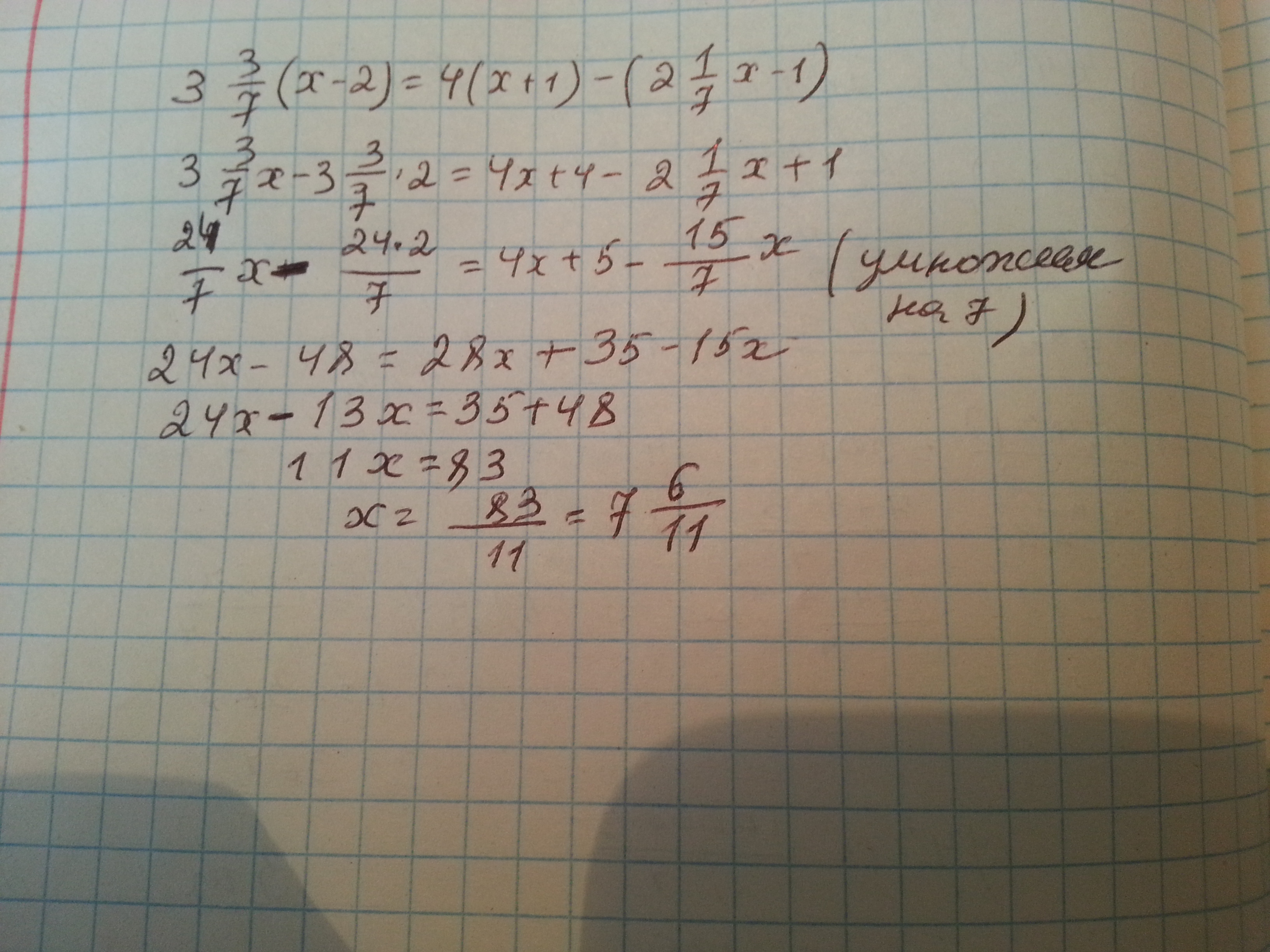
Сначала переведем смешанные дроби в неправильные
3 3/7 = 24/7, 2 1/7 = 15/7
Подставляем
24/7*(x - 2) = 4(x + 1) - (15x/7 - 1)
24x/7 - 48/7 = 4x + 4 - 15x/7 + 1
39x/7 - 4x = 5 + 48/7
Умножаем на 7
39x - 28x = 35 + 48
11x = 83
x = 83/11 = 7 6/11
3 3/7 = 24/7, 2 1/7 = 15/7
Подставляем
24/7*(x - 2) = 4(x + 1) - (15x/7 - 1)
24x/7 - 48/7 = 4x + 4 - 15x/7 + 1
39x/7 - 4x = 5 + 48/7
Умножаем на 7
39x - 28x = 35 + 48
11x = 83
x = 83/11 = 7 6/11
Приложения:

Вас заинтересует
2 года назад
7 лет назад
7 лет назад
9 лет назад
9 лет назад