• Предмет: Алгебра
  • Автор: Emelinaaina
  • Вопрос задан 9 лет назад

Разложите на множители квадратный трехчлен x^2-6x+8

Ответы

Ответ дал: Mihail001192
0

Представим - 6х как - 4х - 2х, сгруппируем слагаемые и вынесем общие множители:

x² - 6x + 8 = x² - 4x - 2x + 8 = (x² - 4x) + (-2x + 8) = x•(x - 4) - 2•(x - 4) = (x - 4)(x - 2)

x² - 6x + 8 = (x - 4)(x - 2)

Ответ дал: Аноним
0
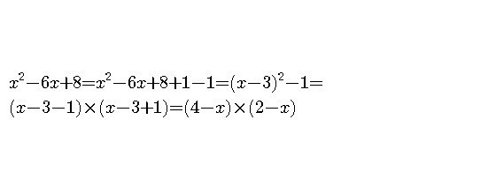
Решение и ответ на картинке.
Приложения:
Вас заинтересует