• Предмет: Математика
  • Автор: Приветик112233
  • Вопрос задан 9 лет назад

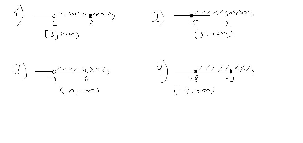
изобразите на координатных прямых решения неравенств которые равносильны системам неравенств. Помогите пожалуйста на фото задание! Номер 1022!

Приложения:

Ответы

Ответ дал: EvrLar
0
Прости, что неаккуратно, но вот что получается...

Приложения:
Вас заинтересует