• Предмет: Алгебра
  • Автор: ggb2
  • Вопрос задан 9 лет назад

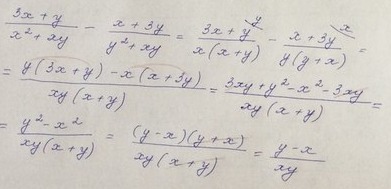
3x+y/x^-y^-x/x^-xy сложение и вычитание рациональных дробей решите пожалуйста вот таким способом

Приложения:

Ответы

Ответ дал: KristaniNay
0
................................................................................................................................



Приложения:
Ответ дал: ggb2
0
спасибо огромное
Ответ дал: ggb2
0
на примери минусы , а вы решали с +
Вас заинтересует
7 лет назад