• Предмет: Математика
  • Автор: Anna111111345
  • Вопрос задан 9 лет назад

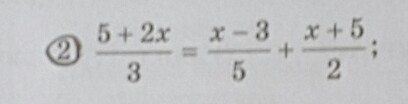
помогите решить уравнение
срочно!
заранее спасибо

Приложения:

Ответа на этот вопрос пока нет. Попробуйте найти его через форму поиска.

Вас заинтересует