Ответы
Ответ дал:
0
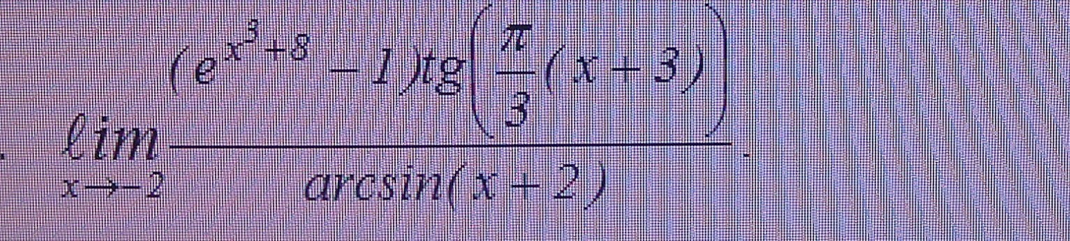
tag(π/3(x+3)) при x= -2. это √3 выносим за знак предела.
остаётся
√3 liim (e^(x^3+8)-1))/(arcsin (x+2))
x-> -2
0/0 правило Лопиталя
вверху 3x^2*(e^(x^3+8). при x=-2 это равно 12
внизу 1/√((1-(x+2)^2) при x=-2 это равно 1
итого √3*12/1 = 12√3
остаётся
√3 liim (e^(x^3+8)-1))/(arcsin (x+2))
x-> -2
0/0 правило Лопиталя
вверху 3x^2*(e^(x^3+8). при x=-2 это равно 12
внизу 1/√((1-(x+2)^2) при x=-2 это равно 1
итого √3*12/1 = 12√3
Вас заинтересует
2 года назад
2 года назад
7 лет назад
7 лет назад
10 лет назад
10 лет назад
10 лет назад